기술사 서브노트 | 대수평균온도차
기술사 공부를 하다 보면, 개념은 알겠지만 실제 시험장에서 어떻게 적용해야 할지 막막한 경우가 많습니다. 그래서 준비했습니다.
대수평균온도차에 대한 내용을 실제 시험장에서 적을 수 있는 수준의 난이도로 서브노트로 만들어 보았습니다. 이 서브노트를 틈틈이 보시고 시험장에 들어가시면 답안지를 막힘없이 작성하는 데 큰 도움이 될 것입니다. 원하는 기술사 시험에 꼭 합격하시길 바랍니다.
📌 개요
대수평균온도차(Log Mean Temperature Difference, LMTD)는 열교환기의 성능을 평가할 때 중요한 지표로, 열교환기 내부의 온도 차이를 보다 정확하게 표현하기 위해 사용됩니다. 열교환기 입구와 출구에서의 온도 차이를 산술적으로 평균내는 것이 아니라, 대수 평균을 사용하여 보다 실제 열 전달 특성을 잘 반영하도록 합니다.
LMTD는 특히 병류 및 향류 흐름에서 온도 차이가 일정하지 않을 때, 평균 온도차를 정확히 구하는 데 유용합니다.
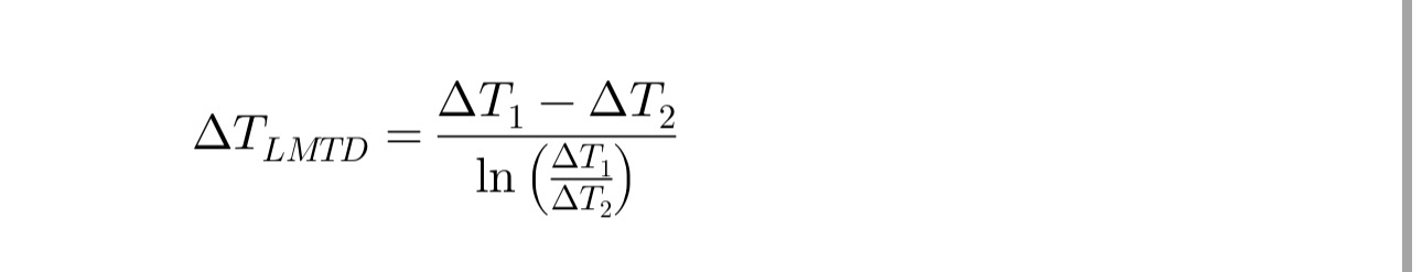
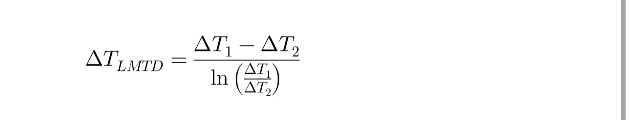
📌 대수평균온도차 공식
대수평균온도차는 다음과 같은 수식으로 정의됩니다.

여기서,
ΔT₁ : 열교환기 입구 온도차
ΔT₂ : 열교환기 출구 온도차
ln : 자연로그 함수
이 공식은 ΔT₁과 ΔT₂가 같아지면 0이 되는 특성을 가지므로, 두 온도 차이가 비슷할 경우 사용에 주의해야 합니다.
📌 대수평균온도차의 활용
대수평균온도차는 다음과 같은 경우에 주로 사용됩니다.
열교환기 설계
열교환기의 크기 및 성능을 결정할 때 중요한 요소로 사용됩니다.
에너지 효율 분석
열교환기에서 에너지 손실을 최소화하기 위한 평가 기준으로 활용됩니다.
병류 및 향류 비교
병류 방식에서는 대수평균온도차가 상대적으로 작아 효율이 낮아지며, 향류 방식에서는 보다 큰 값이 되어 열전달 성능이 향상됩니다.
📌 대수평균온도차와 유효온도차 비교
LMTD 외에도 유효온도차(Effectiveness-NTU 방법)를 사용하여 열교환기의 성능을 분석할 수 있습니다. LMTD 방식은 입출구 온도 조건이 명확할 때 유리하며, E-NTU 방식은 열교환기 크기가 정해져 있을 때 보다 유리합니다.
정리하자면, 대수평균온도차는 열교환기의 성능을 평가하고 설계할 때 필수적인 개념이며, 이를 정확히 이해하고 적용하는 것이 중요합니다.
